项目简介
绝缘材料介电性能测试可以通过测试CP-D、介电频谱、介电温谱来得到介电常数和介电损耗的数据。介电常数反映的是材料的介电性质或极化性质,通常用ε来表示。不同用途的压电元器件对压电材料的介电常数要求不同。介电损耗指的是电介质在电场的作用下,由于电极化弛豫过程的漏导等原因在电介质内所损耗的能量。
结果展示
介电频谱:


复阻抗:



介电温谱:


常见问题
1. 安捷伦E4991A测试注意事项。
该设备测试介电常数于介电损耗需要用不同的夹具测试,因此需要收两次费用,复介电常数测试只需收一次费用;测磁导率和磁损耗需要用不同的夹具测试,因此需要收两次费用,复磁导率只需要收一次费用。
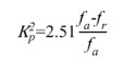
2. 机电耦合系数、机械品质因数的概念及计算公式?
机电耦合系数是一个综合反映压电材料的机械能与电能之间耦合关系的物理量,是压电材料进行机-电能量转换能力的反映。其计算公式为:

其中,fa为反谐振频率,fs为谐振频率,K为机电耦合系数。
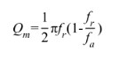
机械品质因数是指压电材料在振动时,为了克服内摩擦需要消耗能量。机械品质因数反映的是能量消耗大小的一个参数。 Qm越大,能量消耗越小。其计算公式为:

其中,fa为反谐振频率,fs为谐振频率,Qm为机械品质因数。
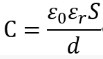
3. 阻抗测试所得电容与介电常数之间的转换。
在测试介电常数时,阻抗测试所得结果数据为电容,可换算为相对介电常数,根据公式:

可得

其中,C表示电容(单位F);ε0表示真空介电常数,压电陶瓷中其值为8.85×10-12 F/m;S表示正对电极的面积。
4. 介电常数、介电损耗的概念。
介电常数反映的是材料的介电性质或极化性质,通常用ε来表示。不同用途的压电元器件对压电材料的介电常数要求不同。
介电损耗指的是电介质在电场的作用下,由于电极化弛豫过程的漏导等原因在电介质内所损耗的能量。
5. 测试前是否需要进行极化处理?
一般不需要进行极化处理。
6. 介电温谱、介电频谱、CP-D的区别。
介电温谱:测试所得到的数据是介电常数、介电损耗与温度的关系,频率为定值,测试时最多可以指定5个频率点;
介电频谱:测试所得到的数据是介电常数、介电损耗与频率的关系,温度为定值;
CP-D:测试所得到的是固定温度,固定频率下的介电常数和介电损耗。
7. 电极种类的选择要求。
测试温度低于500℃时,可选用银电极;测试温度大于500℃且小于800℃时,可选用金电极;测试温度大于800℃时,应制备铂金电极。
仪器设备
借助2000+大型仪器设备和丰富的处理方案,针对各行业研发分析中的难题,提供技术支撑和指导。
技术团队
由20多名博士、100余名硕士组成的技术过硬、经验丰富的技术团队,具备科研检测的核心竞争力。
定制化服务
根据客户需求和行业通用标准,定制化测试方案,全程跟踪测试情况。
能力全面
在华东、华中、华北、西北地区分别建有大型综合检测基地,具有行业顶尖的检验检测分析实验室。